塾講師オリジナル 数学解説(動画付) 広島大附 2018-25 高校入試 過去問 hq720.jpg?sqp=-
(4430件)
Pontaパス特典
サンキュー配送
13920円(税込)
140ポイント(1%)
Pontaパス会員ならさらに+1%ポイント還元!
送料
(
)
4422
配送情報
お届け予定日:2026.04.26 16:40までにお届け
※一部地域・離島につきましては、表示のお届け予定日期間内にお届けできない場合があります。
ロットナンバー
7579398218
お買い物の前にチェック!
Pontaパス会員なら
ポイント+1%
ポイント+1%
商品説明










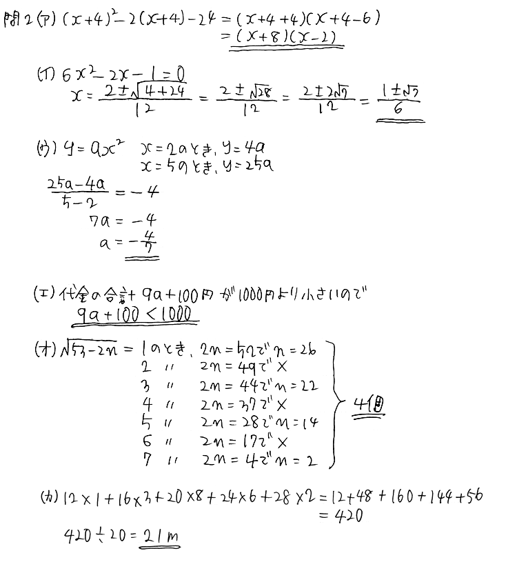
塾講師オリジナル 数学解説(動画付!!) 広島大附 2018-25 高校入試 過去問\r\r\r#国立オリジナル #難関オリジナル\r\r\r\r
\r\r\r広島大附 高校入試の数学のオリジナル解説です。 画像はぼかしてあります。実際にお手元に届くものは、ぼかしはいれてありませんのでご安心ください。私の手書きで、色ペンを用いていますので、カラーです。
\r
\r【収録年度】
\r・2018-25
\r
\r数学のオリジナル解説です。全41ページあります。全問解説動画もついています(7.3h超)。市販の解説は、紙面の都合上、計算の過程が省略されがちです。私のこのオリジナル解説は、計算過程を重視しました。またそこで用いたポイント(定理・公式やその他視点など)も詳しく説明してあります。
\r
\r
\r同業の方や転売目的の方は、お断りいたします。私個人が手間ひまかけて作っている解説です。
\r
\r
\r
\r● 私(筆者)について
\r(私自身の経歴は、商品(この解説冊子)の内容に直接は関係しませんが、どんな人間が書いたものか気にされる方もいますので、一応載せておきます)
\r
\r本業…塾講師(11年目)
\r副業…家庭教師(9年)
\r埼玉県立浦和高校 卒、早稲田大学 法学部 卒。
\r他に慶應志木や早大学院などにも合格(志木の2次は学院の1次と重なったため、1 次までの合格)。
\r北辰テストの最高は 3 位。20 位には毎回入っていました(いずれの順位も全受験者中の3科、5科の順位)。
\r小中(小 4~)の 5 科、高浪社会人は理科以外(センター理科は ok)を教えています。
\rレベルも平均未満のお子様~超難関志望(開成高、早慶高、早慶大など合格実績)まで様々です。
\r
\r
\r#国立オリジナル #難関オリジナル\r\r\r●検索用ワード\r広島大附属 広島大学附属 広島大附属高校 広島大学附属高校 広島大附属高等学校 広島大学附属高等学校 最難関 超難関 難関 最難関高校 超難関高校 難関高校 最難関高 超難関高 難関高 最難関校 超難関校 難関校
| カテゴリー: | 本・雑誌・漫画>>>本>>>語学・辞書・学習参考書 |
|---|---|
| 商品の状態: | 新品、未使用","新品で購入し、一度も使用していない |
| 配送料の負担: | 送料込み(出品者負担) |
| 配送の方法: | 佐川急便/日本郵便 |
| 発送元の地域: | 埼玉県 |
| 発送までの日数: | 2~3日で発送 |
レビュー
商品の評価:




4.8点(4430件)
- ちゃまにゃも
- 1歳半の娘にはまだ早かったようです笑 もう少し大きくなったらリベンジします^ ^
- うしビワ
- 表紙の絵に感動して購入したのですが 中は、改めて描かれたもので、風情も何もありませんでした。 最終ページのガリバーは なんと井上ひさしさんの顔になっており。。 Σ( ̄ロ ̄lll)え??? と思いました。 中身も、表紙の絵のようなタッチだったら間違いなく☆5だったけど かなり残念だったので、2☆とさせていただきます。 ダメですよ 表紙の絵と中の絵を変えてしまっては。。。
- あらたんたんたん
- この価格で手軽に持ち運びが出来て楽しく遊ぶことができてうれしいです。 音楽が鳴り始めるとすぐにこっちにきて体を動かしてます。
- nera150
- 1歳半の娘に購入。まだ早いだろうと思ってましたが、既に娘のめちゃくちゃお気に入りです! 本来の遊び方はまだ出来ていませんが、アンパンマン大好きな娘は「アンパンマンどーこだ」「チーズどーこだ」と主要メンバーを探させると指差しで教えてくれるようになりました! ページ中央が破れやすく、ほぼ全ページ破れたので補強して毎日遊んでます♩ 長く遊べそうなので、買ってよかったです^ ^
- anko&yuuki
- 2歳の子供が図書館で毎回手に取るので、家用に購入しました。単純な内容ですが、読んでいて大人も穏やかな気分になれる絵がとても好きです。
- もめん0408
- 3ページ目、4ページ目・・・ 文字が段々滲んできます。 プーが残したタネは、 ほかのタネよりつよいタネにそだったそうですよ 裏表紙のこのフレーズ 子育てされている若いお父さん、お母さんにぜひ実感してほしいなと思います。 そして他人(ひと)の痛みが分かる人を育ててほしいなと思います。 13日放送の情熱大陸がますます待ち遠しいですね。
- 猿のモン吉
- 娘にひな祭りの日にプレゼントで渡しました。とっても可愛い本で気に入っています!表紙がハサミで切り取って着せ替え遊びが出来るようになっていて、もったいないのでカラーコピーでさせてますが、楽しんでいます!
- 大泉元気
- やっぱりおもしろい! 今回は良い流れからのドッカーン! 2歳の息子に。最初はあまりくいつかなかったけど、徐々に好きになってきて今では読んでと良く持ってくる本です。 電車好きの息子が大好きな一冊になりました。
- しんちゃん0603
- 月末に残っていたポイントを消費する為に購入。金額的には500円以下だし、子供も喜んでくれたので良かったです。フォーゼを見るときに本を持ってきて指さし確認しながら見ていました(^^)
- nonnon2324
- はっきりした色でわかりやすい絵のものだと有難いです。 とリクエストしたところとても素敵な絵本ばかり届きました! 綺麗さも説明通りです! たくさん娘に読んであげたいと思います 発送もとても早くて嬉しかったです ありがとうございました また機会があれば購入したいです
- 馬きち2755
- なんてかわいいお話!パンがたくさん登場するページでは、毎回盛り上がります。
- Bafon
- 歌が好きな子どものために購入しました 毎日のように夜寝る前に見て歌ってます 童謡をあまり覚えてない私も歌が好きな子どももすごく気に入ってます
- banko_ku_koutuu
- かわいいですが、ちょっと我が家には大きすぎたようです。
- ♪〜とも〜♪
- 1歳半の息子に購入しました。絵も見やすいし、息子も自分で持ってくるので、気に入っているのだと思います。
- ながちゃん8430
- 4歳の姪っ子の誕生日に購入しました。 大人もワクワクするような可愛い仕掛け絵本でした。
すべて見る
お店の情報
7,367
連絡・応対
4.3
配送スピード
4.3
梱包
4.3










